Online Database of Chemicals from Around the World

Forsythin
[CAS# 96420-61-0]

List of Suppliers
Chengdu Biopurify Phytochemicals Ltd. China Inquire  
+86 (28) 8263-3860
8263-3987
sales@biopurify.com
biopurify@gmail.com
Skype Chat
QQ chat
Chemical manufacturer
chemBlink standard supplier since 2017
Complete supplier list of Forsythin
Identification
Name Forsythin
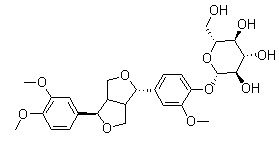
Molecular Structure CAS # 96420-61-0, Forsythin
Molecular Formula C27H34O11
Molecular Weight 534.56
CAS Registry Number 96420-61-0
Properties
Melting point 181 ºC*
* Kunimine, Senkichi; Yakugaku Zasshi 1937, V57, P902-9.
Market Analysis Reports
List of Reports Available for Forsythin
Related Products
5-Formyluracil  N-Formyl-L-valine  N-Formyl-D-valine  N-Formyl-L-valyl-L-valine  4,4'-[(2-Formy-1,4-phenylene)bis(oxymethylene)]bis-cyclohexane carboxylic acid  Forodesine  Forrestin A  Forskolin  Forskolin G  Forskolin J  Forsythoside A  Forsythoside B  Forsythoside E  Forsythoside F  Forsythoside H  Fortical  Fortuneine  Forxiga  Fosamprenavir