Online Database of Chemicals from Around the World

丰原素
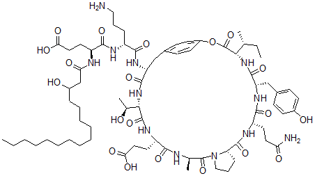
[CAS# 102577-03-7]

供应商
Creative Peptides 美国 询价快递  
+1 (631) 624-4882
info@creative-peptides.com
化学品生产商
chemBlink 集群供应商(2016 年起)
基本信息
产品名称 丰原素
英文名 Fengycin
别名 Fengycin
分子结构 CAS 登录号:102577-03-7, 丰原素
分子式 C72H110N12O20
分子量 1463.73
CAS 登录号 102577-03-7
分子行输入简码 SMILES [C@H]12N(CCC1)C(=O)[C@H](NC(=O)[C@@H](NC(=O)[C@@H](NC(=O)[C@H](NC(=O)[C@H](NC(=O)[C@@H](NC(=O)CC(O)CCCCCCCCCCCCC)CCC(O)=O)CCCN)CC4=CC=C(OC(=O)[C@@H](NC(=O)[C@@H](NC(=O)[C@@H](NC2=O)CCC(=O)N)CC3=CC=C(O)C=C3)[C@@H](CC)C)C=C4)[C@@H](O)C)CCC(O)=O)C
国际化学标识码 InChI 1S/C72H110N12O20/c1-6-8-9-10-11-12-13-14-15-16-17-20-48(87)41-58(89)76-51(32-35-59(90)91)65(96)77-50(21-18-37-73)64(95)80-55-40-46-25-29-49(30-26-46)104-72(103)61(42(3)7-2)82-67(98)54(39-45-23-27-47(86)28-24-45)81-66(97)52(31-34-57(74)88)78-69(100)56-22-19-38-84(56)71(102)43(4)75-63(94)53(33-36-60(92)93)79-70(101)62(44(5)85)83-68(55)99/h23-30,42-44,48,50-56,61-62,85-87H,6-22,31-41,73H2,1-5H3,(H2,74,88)(H,75,94)(H,76,89)(H,77,96)(H,78,100)(H,79,101)(H,80,95)(H,81,97)(H,82,98)(H,83,99)(H,90,91)(H,92,93)/t42-,43-,44+,48?,50-,51+,52+,53+,54+,55-,56+,61+,62+/m1/s1
国际化学标识检索码 InChIKey CUOJDWBMJMRDHN-RLLVTFBRSA-N
市场分析报告
请浏览丰原素市场分析报告总目录
相关产品
Perdolan  (2S)-N-(2-氨基乙酰基)-2-[[(2E)...  [[(3R,4S,5S,6R)-3,4,5-三羟基...  1-苯基-3,4-二氢-2H-喹啉-4-胺  藓苔抑制素8  (2S)-2-[[(2S)-2-氨基-3-苯基丙酰...  6-氯-1-(3-二甲基氨基丙基)-3-甲基喹喔啉...  2-(二(2-羟基乙基)氨基)乙醇;2-苯基硫基乙...  ((4-氟苯基)磺酰基)-乙酸化合物与2,2',2...  2-(二(2-羟基乙基)氨基)乙醇2-(2,4-二...  4-[(E)-2-(2,6-二甲基苯基)乙烯基]-...  [1-(2-甲氧基苯基)丙-2-基氨基]-丙-2-...  二(2-羟基乙基)-甲基-十三烷基氯化铵  N-(4-苯基偶氮苯基)-4,5-二氢-1,3-恶...  (6E)-6-[(2,2-二甲基肼基)亚甲基]-2...