Online Database of Chemicals from Around the World

Tangshenoside I
[CAS# 117278-74-7]

Suppliers
CAS#: 117278-74-7
Product: Tangshenoside I
No suppilers available for the product.
Identification
Name Tangshenoside I
Synonyms 5-[(E)-3-[3,5-Dimethoxy-4-[(2S,3R,4S,5S,6R)-3,4,5-Trihydroxy-6-(Hydroxymethyl)Tetrahydropyran-2-Yl]Oxy-Phenyl]Prop-2-Enoxy]-3-Methyl-5-Oxo-3-[(2S,3R,4S,5S,6R)-3,4,5-Trihydroxy-6-(Hydroxymethyl)Tetrahydropyran-2-Yl]Oxy-Pentanoic Acid; 5-[(E)-3-[3,5-Dimethoxy-4-[[(2S,3R,4S,5S,6R)-3,4,5-Trihydroxy-6-(Hydroxymethyl)-2-Tetrahydropyranyl]Oxy]Phenyl]Prop-2-Enoxy]-3-Methyl-5-Oxo-3-[[(2S,3R,4S,5S,6R)-3,4,5-Trihydroxy-6-(Hydroxymethyl)-2-Tetrahydropyranyl]Oxy]Pentanoic Acid; 5-[(E)-3-[3,5-Dimethoxy-4-[(2S,3R,4S,5S,6R)-3,4,5-Trihydroxy-6-Methylol-Tetrahydropyran-2-Yl]Oxy-Phenyl]Prop-2-Enoxy]-5-Keto-3-Methyl-3-[(2S,3R,4S,5S,6R)-3,4,5-Trihydroxy-6-Methylol-Tetrahydropyran-2-Yl]Oxy-Valeric Acid
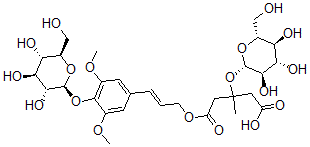
Molecular Structure CAS#: 117278-74-7, Tangshenoside I
Molecular Formula C29H42O18
Molecular Weight 678.64
CAS Registry Number 117278-74-7
SMILES [C@@H]3(OC1=C(OC)C=C(C=C1OC)\C=C\COC(=O)CC(O[C@@H]2O[C@@H]([C@@H](O)[C@H](O)[C@H]2O)CO)(CC(=O)O)C)O[C@@H]([C@@H](O)[C@H](O)[C@H]3O)CO
InChI 1S/C29H42O18/c1-29(9-18(32)33,47-28-25(40)23(38)21(36)17(12-31)45-28)10-19(34)43-6-4-5-13-7-14(41-2)26(15(8-13)42-3)46-27-24(39)22(37)20(35)16(11-30)44-27/h4-5,7-8,16-17,20-25,27-28,30-31,35-40H,6,9-12H2,1-3H3,(H,32,33)/b5-4+/t16-,17-,20-,21-,22+,23+,24-,25-,27+,28+,29?/m1/s1
InChIKey ABKPQICIFGNRAA-YCRPTBBLSA-N
Properties
Density 1.556g/cm3 (Cal.)
Boiling point 993.403°C at 760 mmHg (Cal.)
Flash point 316.375°C (Cal.)
Market Analysis Reports
List of Reports Available for Tangshenoside I
Related Products
Israpafant  Aminotris(Methylenephosphonato)Diamminop...  3-(4-Fluorophenyl)-3-[(2,2,2-Trifluoroac...  3-(4-Chlorophenyl)-3-[(2,2,2-Trifluoroac...  2-Methyl-4-Carboxy-3,4,5,6-Tetrahydropyr...  2-Piperidin-1-Ylethyl 2-Phenyl-2-Piperid...  1,3-Trimethylene-2',5-Epoxyandrostane-3,...  2,3,4,6-Tetra-O-Benzylgalactopyranosyl P...  2-Dimethylaminomethylcyclohexyl Benzoate  2-[4-Chloro(Phenylsulfonyl)Anilino]Aceti...  2-([(4-Methoxyphenyl)Sulfonyl]Amino)-2-P...  2-([(4-Chlorophenyl)Sulfonyl]Amino)-2-Ph...  [2-[(3S,8S,9S,10R,13S,14S,16R,17S)-3-Hyd...  (1S)-3-[(Z)-2-[(1R,3aR,7aR)-7a-Methyl-1-...  [2-(9-Hydroxy-9-oxo-nonanoyl)oxy-3-octad...