Online Database of Chemicals from Around the World

二齿配位四水合铑腺苷5'-三磷酸酯络合物
[CAS# 117405-91-1]

供应商
CAS#: 117405-91-1
产品: 二齿配位四水合铑腺苷5'-三磷酸酯络合物
暂时没有厂家供应该产品。
基本信息
产品名称 二齿配位四水合铑腺苷5'-三磷酸酯络合物
英文名 Bidentate Tetraaquarhodium Adenosine 5'-Triphosphate Complex
别名 [[[5-(6-Aminopurin-9-Yl)-3,4-Dihydroxy-Tetrahydrofuran-2-Yl]Methoxy-Oxido-Phosphoryl]Oxy-Oxido-Phosphoryl] Phosphate; Hydron; Rhodium(+3) Cation; Tetrahydrate; [[[5-(6-Aminopurin-9-Yl)-3,4-Dihydroxy-2-Tetrahydrofuranyl]Methoxy-Oxidophosphoryl]Oxy-Oxidophosphoryl] Phosphate; Hydron
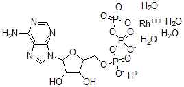
分子结构 CAS 登录号:117405-91-1, 二齿配位四水合铑腺苷5'-三磷酸酯络合物
分子式 C10H21N5O17P3Rh
分子量 679.13
CAS 登录号 117405-91-1
分子行输入简码 SMILES [Rh+3].[H+].C2=NC1=C(N=CN=C1[N]2C3OC(C(O)C3O)CO[P](O[P](O[P]([O-])([O-])=O)([O-])=O)([O-])=O)N.O.O.O.O
国际化学标识码 InChI 1S/C10H16N5O13P3.4H2O.Rh/c11-8-5-9(13-2-12-8)15(3-14-5)10-7(17)6(16)4(26-10)1-25-30(21,22)28-31(23,24)27-29(18,19)20;;;;;/h2-4,6-7,10,16-17H,1H2,(H,21,22)(H,23,24)(H2,11,12,13)(H2,18,19,20);4*1H2;/q;;;;;+3/p-3
国际化学标识检索码 InChIKey CGQMMOVZOZHALB-UHFFFAOYSA-K
市场分析报告
请浏览二齿配位四水合铑腺苷5'-三磷酸酯络合物市场分析报告总目录
相关产品
三齿配位的三水合铑-腺苷5'-三磷酸酯络合物  苯基丙酰-辅酶A  4-[[1-乙氧基-2-氧代-2-(4-苯基苯基)...  氯二(二环己基苯基膦)金(I)  四乙基铵三溴(2-(2-乙酰氧基苯乙烯基)苯并噻唑...  3'-O-(5-氟-2,4-二硝基苯基)三磷酸腺苷...  3'-O-(5-氟-2,4-二硝基苯基)二磷酸腺苷...  3-(1,2-环氧丁-3-烯基)-4-乙烯基环戊烯  烟曲霉毒素A2  烟曲霉毒素A1  Oxysceptrin  Dibromosceptrin  4-羟基-3-戊烯酸  4-叔丁基-1-(4-碘苯基)-2,6,7-三氧杂...  4-(4-氨基-5-甲氧基-2-甲基苯基)偶氮-5...