Online Database of Chemicals from Around the World

Cycloviracin B1
[CAS# 142382-45-4]

Suppliers
CAS#: 142382-45-4
Product: Cycloviracin B1
No suppilers available for the product.
Identification
Name Cycloviracin B1
Synonyms Cycloviracin-B1; 2,6,13,17,23,24-Hexaoxatricyclo(17.3.1.1(8,12))Tetracosane-5,16-Dione, 3-(16,22-Bis((2-O-Methyl-Beta-D-Glucopyranosyl)Oxy)Tricosyl)-9,10,11,20,21,22-Hexahydroxy-14-(20-Hydroxy-14-((2-O-Methyl-Beta-D-Glucopyranosyl)Oxy)Heneicosyl)-; 3-(16,22-Bis((2-O-Methyl-Beta-D-Glucopyranosyl)Oxy)Tricosyl)-9,10,11,20,21,22-Hexahydroxy-14-(20-Hydroxy-14-((2-O-Methyl-Beta-D-Glucopyranosyl)Oxy)Heneicosyl)-2,6,13,17,23,24-Hexaoxatricyclo(17.3.1.1(8,12))Tetracosane-5,16-Dione
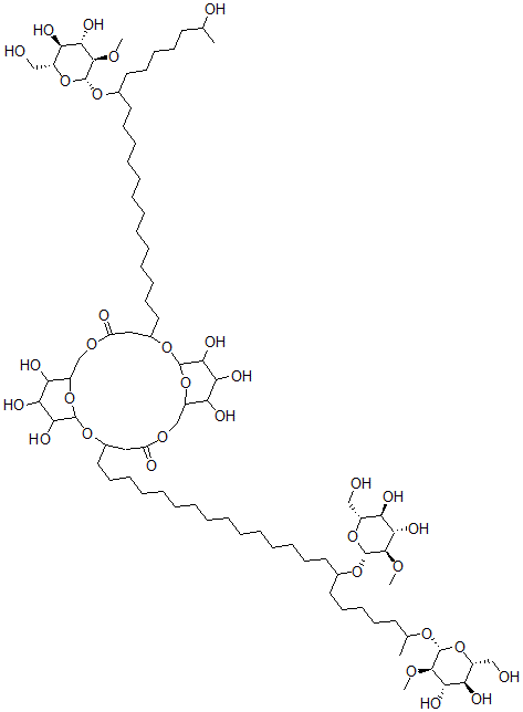
Molecular Structure CAS#: 142382-45-4, Cycloviracin B1
Molecular Formula C83H152O33
Molecular Weight 1678.09
CAS Registry Number 142382-45-4
SMILES [C@H]1(OC)[C@@H](O[C@@H]([C@@H](O)[C@@H]1O)CO)OC(CCCCCC(O[C@@H]2O[C@@H]([C@@H](O)[C@H](O)[C@H]2OC)CO)C)CCCCCCCCCCCCCCCC5OC3OC(C(O)C(O)C3O)COC(=O)CC(OC4OC(C(O)C(O)C4O)COC(=O)C5)CCCCCCCCCCCCCC(O[C@@H]6O[C@@H]([C@@H](O)[C@H](O)[C@H]6OC)CO)CCCCCC(O)C
InChI 1S/C83H152O33/c1-51(87)36-28-26-34-40-53(108-82-77(103-4)72(98)65(91)58(47-85)113-82)38-30-22-19-15-12-9-13-17-21-25-33-43-56-45-63(89)106-50-60-67(93)69(95)74(100)79(115-60)110-55(44-62(88)105-49-61-68(94)70(96)75(101)80(111-56)116-61)42-32-24-20-16-11-8-6-7-10-14-18-23-31-39-54(109-83-78(104-5)73(99)66(92)59(48-86)114-83)41-35-27-29-37-52(2)107-81-76(102-3)71(97)64(90)57(46-84)112-81/h51-61,64-87,90-101H,6-50H2,1-5H3/t51?,52?,53?,54?,55?,56?,57-,58-,59-,60?,61?,64-,65-,66-,67?,68?,69?,70?,71+,72+,73+,74?,75?,76-,77-,78-,79?,80?,81-,82-,83-/m1/s1
InChIKey UHXMKKIXCMBBAY-UKGVZLGJSA-N
Market Analysis Reports
List of Reports Available for Cycloviracin B1
Related Products
3-(16,22-Bis(2-O-Methyl-beta-D-Glucopyra...  (7aalpha,11beta,14alpha)-3-Ethyl-7a,8,11...  (1S,2S,3R,4Z,6Z,10S,12Z,14Z)-10-[(5S,6R,...  3-[(2E,4E,6E,8E,10Z,20E)-19-Carbamoyloxy...  (2R,3R,4S,5R)-2-(6-Amino-8-Ethenylpurin-...  (E)-4-[2-Hydroxy-2-[3-Hydroxy-4-[(4E,6E,...  (E)-4-[2,8-Dihydroxy-9-[(4E,6E,12E,14E)-...  (E)-4-[2-[3-Hydroxy-4-[(4E,6E,12E,14E)-1...  4,4'-Biphenylbisdiazonium Fluoroborate  11-(3-Amino-4-Hydroxy-4-Oxobutanoyl)-5-H...  Dichlorobis(Thiourea-S)Zinc  Estra-1,3,5,7,9-Pentaene-3,17beta-Diol  trans-Dinitrobis(Ethylenediamine)Cobalt  16-beta-Methyl-4-Pregnen-3,20-Dione  N,N'-Dibenzylthiourea