Online Database of Chemicals from Around the World

Chromosaponin I
[CAS# 143519-54-4]

Suppliers
International Laboratory Limited USA Inquire  
+1 (650) 278-9963
admin@intlab.org
Chemical manufacturer since 2002
Identification
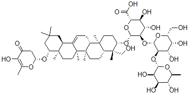
Name Chromosaponin I
Synonyms (2S,3S,4S,5R,6R)-6-[[(3S,4S,4Ar,6Ar,6Bs,8Ar,9R,12As,14Ar,14Br)-4-(Hydroxymethyl)-9-[[(2R)-5-Hydroxy-6-Methyl-4-Oxo-2,3-Dihydropyran-2-Yl]Oxy]-4,6A,6B,8A,11,11,14B-Heptamethyl-1,2,3,4A,5,6,7,8,9,10,12,12A,14,14A-Tetradecahydropicen-3-Yl]Oxy]-5-[(2S,3R,4S,5R,6R)-4,5-Dihydroxy-6-(Hydroxymethyl)-3-[(2S,3R,4R,5R,6S)-3,4,5-Trihydroxy-6-Methyl-Tetrahydropyran-2-Yl]Oxy-Tetrahydropyran-2-Yl]Oxy-3,4-Dihydroxy-Tetrahydropyran-2-Carboxylic Acid; (2S,3S,4S,5R,6R)-6-[[(3S,4S,4Ar,6Ar,6Bs,8Ar,9R,12As,14Ar,14Br)-4-(Hydroxymethyl)-9-[[(2R)-5-Hydroxy-6-Methyl-4-Oxo-2,3-Dihydropyran-2-Yl]Oxy]-4,6A,6B,8A,11,11,14B-Heptamethyl-1,2,3,4A,5,6,7,8,9,10,12,12A,14,14A-Tetradecahydropicen-3-Yl]Oxy]-5-[[(2S,3R,4S,5R,6R)-4,5-Dihydroxy-6-(Hydroxymethyl)-3-[[(2S,3R,4R,5R,6S)-3,4,5-Trihydroxy-6-Methyl-2-Tetrahydropyranyl]Oxy]-2-Tetrahydropyranyl]Oxy]-3,4-Dihydroxy-2-Tetrahydropyrancarboxylic Acid; (2S,3S,4S,5R,6R)-6-[[(3S,4S,4Ar,6Ar,6Bs,8Ar,9R,12As,14Ar,14Br)-9-[[(2R)-5-Hydroxy-4-Keto-6-Methyl-2,3-Dihydropyran-2-Yl]Oxy]-4,6A,6B,8A,11,11,14B-Heptamethyl-4-Methylol-1,2,3,4A,5,6,7,8,9,10,12,12A,14,14A-Tetradecahydropicen-3-Yl]Oxy]-5-[(2S,3R,4S,5R,6R)-4,5-Dihydroxy-6-Methylol-3-[(2S,3R,4R,5R,6S)-3,4,5-Trihydroxy-6-Methyl-Tetrahydropyran-2-Yl]Oxy-Tetrahydropyran-2-Yl]Oxy-3,4-Dihydroxy-Tetrahydropyran-2-Carboxylic Acid
Molecular Structure CAS#: 143519-54-4, Chromosaponin I
Molecular Formula C54H84O21
Molecular Weight 1069.25
CAS Registry Number 143519-54-4
SMILES [C@]28(C(=CC[C@@H]3[C@]1(CC[C@@H]([C@@]([C@@H]1CC[C@@]23C)(CO)C)O[C@H]4[C@@H]([C@@H](O)[C@@H]([C@H](O4)C(=O)O)O)O[C@H]5[C@@H]([C@@H](O)[C@H]([C@H](O5)CO)O)O[C@H]6[C@@H]([C@H](O)[C@H]([C@@H](O6)C)O)O)C)[C@@H]7CC(C)(C)C[C@H]([C@@]7(CC8)C)O[C@@H]9OC(=C(C(C9)=O)O)C)C
InChI 1S/C54H84O21/c1-23-34(58)27(57)18-33(68-23)71-32-20-49(3,4)19-26-25-10-11-30-51(6)14-13-31(52(7,22-56)29(51)12-15-54(30,9)53(25,8)17-16-50(26,32)5)72-48-44(40(64)39(63)42(73-48)45(66)67)75-47-43(38(62)36(60)28(21-55)70-47)74-46-41(65)37(61)35(59)24(2)69-46/h10,24,26,28-33,35-44,46-48,55-56,58-65H,11-22H2,1-9H3,(H,66,67)/t24-,26-,28+,29+,30+,31-,32+,33-,35-,36-,37+,38-,39-,40-,41+,42-,43+,44+,46-,47-,48+,50+,51-,52+,53+,54+/m0/s1
InChIKey ONAAMCDHQSWPDU-BKUHCKHBSA-N
Properties
Density 1.435g/cm3 (Cal.)
Market Analysis Reports
List of Reports Available for Chromosaponin I
Related Products
2-Methyl-4-Pyrrolidin-1-Ylaniline Hydroc...  6,7-Dimethoxy-1-(3,4-dimethoxyphenyl)-3-...  (4,5-Dihydro-Thiazol-2-Yl)-[2-(4-Methoxy...  Cylindrospermopsin  Zinc Mesoporphyrin  Carbonothioic Acid O-(2-Sec-Butyl-4,6-Di...  Thiocarbonic Acid O-(2-Sec-Butyl-4,6-Din...  Bromodiiodoborane  Ustiloxin A  N,N'-Bis(2-Hydroxy-5-(Ethylene-beta-Carb...  4-(4-Nitrophenylazo)Phenol  4-Dodecylbenzenesulfonic Acid Ammonium S...  2-(4-Methyl-1-Cyclohex-3-Enyl)Propan-2-Y...  Methyl (6R,7R)-6-Hydroxy-7-Methyl-6,7-Di...  1-[2-(2-Carboxyethoxy)Ethyl]-1-(2-Carbox...