Online Database of Chemicals from Around the World

罗汉果甙 II-E
[CAS# 88901-38-6]

供应商目录
成都普瑞法科技开发有限公司 中国 询价快递  
+86 (28) 8263-3860
8263-3987
sales@biopurify.com
biopurify@gmail.com
QQ 交谈
Skype 聊天
化学品生产商
chemBlink 标准供应商 (2017年起)
常州新星联生物科技有限公司 中国 询价快递  
+86 (519) 8555-7386
+86 18015025600
marketing1@neostarunited.com
化学品供销商 (2014年起)
chemBlink 标准供应商 (2020年起)
罗汉果甙 II-E供应商总目录
基本信息
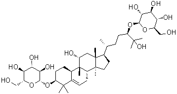
英文名 Mogroside II-E
别名 (3beta,9beta,10alpha,11alpha,24R)-11,25-Dihydroxy-9-methyl-19-norlanost-5-ene-3,24-diyl bis-beta-D-glucopyranoside
产品名称 罗汉果甙 II-E
分子结构 CAS 登录号:88901-38-6, 罗汉果甙 II-E
分子式 C42H72O14
分子量 801.01
CAS 登录号 88901-38-6
物理化学性质
溶解度 不溶 (9.6e-4 g/L) (25 ºc), 计算值*
密度 1.33±0.1 g/cm3 (20 ºc 760 torr), 计算值*
* 使用计算软件 Advanced Chemistry Development (ACD/Labs) V11.02 (©1994-2016 ACD/Labs)
市场分析报告
请浏览罗汉果甙 II-E市场分析报告总目录
相关产品
莫昔普利相关物质 B  莫昔普利叔丁酯马来酸盐  莫苯唑酸  髓鞘少突胶质细胞糖蛋白  MOG (35-55)  斜硅石  罗汉果醇  罗汉果甙 I-A1  罗汉果甙 I-E1  罗汉果皂苷 II-A2  罗汉果甙 II-A1  罗汉果甙 IIA  罗汉果甙 II B  罗汉果皂苷 III-A1  罗汉果皂苷 III-E  罗汉果甙 III-A2  罗汉果甙 III  罗汉果皂苷 IV-A  罗汉果皂甙 IV-E  罗汉果皂甙 IV