Online Database of Chemicals from Around the World

罗汉果甙 I-E1
[CAS# 88901-39-7]

供应商目录
成都普瑞法科技开发有限公司 中国 询价快递  
+86 (28) 8263-3860
8263-3987
sales@biopurify.com
biopurify@gmail.com
QQ 交谈
Skype 聊天
化学品生产商
chemBlink 标准供应商 (2017年起)
罗汉果甙 I-E1供应商总目录
基本信息
英文名 Mogroside I-E1
别名 (3beta,9beta,10alpha,11alpha,24R)-11,24,25-Trihydroxy-9-methyl-19-norlanost-5-en-3-yl beta-D-glucopyranoside
产品名称 罗汉果甙 I-E1
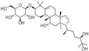
分子结构 CAS 登录号:88901-39-7, 罗汉果甙 I-E1
分子式 C36H62O9
分子量 638.87
CAS 登录号 88901-39-7
物理化学性质
溶解度 不溶 (5.7e-4 g/L) (25 ºC), 计算值*
密度 1.23±0.1 g/cm3 (20 ºC 760 torr), 计算值*
* 使用计算软件 Advanced Chemistry Development (ACD/Labs) V11.02 (©1994-2016 ACD/Labs)
市场分析报告
请浏览罗汉果甙 I-E1市场分析报告总目录
相关产品
莫昔普利拉  盐酸莫昔普利  莫昔普利相关物质 B  莫昔普利叔丁酯马来酸盐  莫苯唑酸  髓鞘少突胶质细胞糖蛋白  MOG (35-55)  斜硅石  罗汉果醇  罗汉果甙 I-A1  罗汉果甙 II-E  罗汉果皂苷 II-A2  罗汉果甙 II-A1  罗汉果甙 IIA  罗汉果甙 II B  罗汉果皂苷 III-A1  罗汉果甙 III  MK 4305  MK 5108  MK-5172