Online Database of Chemicals from Around the World

1,2-Di-(9Z-octadecenoyl)-sn-glycero-3-phospho-L-serine sodium salt
[CAS# 90693-88-2]

List of Suppliers
Shanghai Growingchem Co., Ltd. China Inquire  
+86 (21) 5080-0795
sales@growingchem.com
syzhang1983@163.com
QQ chat
Chemical manufacturer since 2008
chemBlink standard supplier since 2009
Shochem(shanghai) Co., Ltd. China Inquire  
+86 (21) 5178-3479
info@shochem.com
QQ chat
Chemical manufacturer since 2016
chemBlink standard supplier since 2018
Chongqing Yusi Pharmaceutical Technology Co., Ltd. China Inquire  
+86 (023) 6279-5528
3279537175@qq.com
QQ chat
Chemical manufacturer since 2020
chemBlink standard supplier since 2022
Complete supplier list of 1,2-Di-(9Z-octadecenoyl)-sn-glycero-3-phospho-L-serine sodium salt
Identification
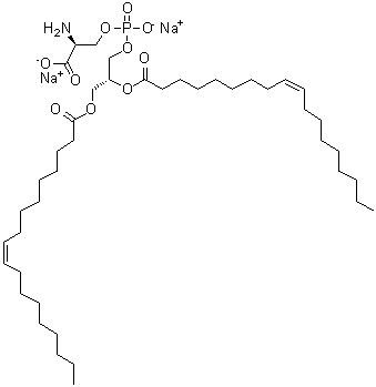
Name 1,2-Di-(9Z-octadecenoyl)-sn-glycero-3-phospho-L-serine sodium salt
Synonyms (2S,8R,19Z)-2-Amino-5-hydroxy-11-oxo-8-[[(9Z)-1-oxo-9-octadecenyl]oxy]-4,6,10-trioxa-5-phosphaoctacos-19-enoic acid 5-oxide sodium salt (1:1); 1,2-Dioleoyl-sn-glycero-3-phospho-L-serine sodium salt; Coatsome MS 8181LS
Molecular Structure CAS # 90693-88-2, 1,2-Di-(9Z-octadecenoyl)-sn-glycero-3-phospho-L-serine sodium salt, (2S,8R,19Z)-2-Amino-5-hydroxy-11-oxo-8-[[(9Z)-1-oxo-9-octadecenyl]oxy]-4,6,10-trioxa-5-phosphaoctacos-19-enoic acid 5-oxide sodium salt (1:1), 1,2-Dioleoyl-sn-glycero-3-phospho-L-serine sodium salt, Coatsome MS 8181LS
Molecular Formula C42H78NO10P.Na
Molecular Weight 811.03
CAS Registry Number 90693-88-2
Market Analysis Reports
List of Reports Available for 1,2-Di-(9Z-octadecenoyl)-sn-glycero-3-phospho-L-serine sodium salt
Related Products
4,4'-Dinonyl-2,2'-bithiazole  Dinonylnaphthalenesulfonic acid  Dinonyl phthalate  Dinonyl sebacate  15,16-Dinor-8(17),11-labdadien-13-one  ent-14,15-Dinor-13-oxolabda-8(17),11-dien-18-oic acid  Dinotefuran  Dinoterb dimethylamine salt  Dinsed  1,2-Di-[(2E,4E)-2,4-octadecadienoyl]-sn-glycero-3-phosphocholine  2-[(Dioctadecylamino)carbonyl]benzoic acid  N,N-Dioctadecylbenzenamine  Dioctadecyl dimethyl ammonium chloride  3,3'-Dioctadecyloxacarbocyanine perchlorate  O,O'-Dioctadecylpentaerythritol bis(phosphite)  1,1'-Dioctadecyl-3,3,3',3'-tetramethylindocarbocyanine perchlorate  1,1'-Dioctadecyl-3,3,3',3'-tetramethylindodicarbocyanine perchlorate  1,2-Dioctanoyl-sn-glycerol  Dioctyl adipate  1,3-Dinitropropane