Online Database of Chemicals from Around the World

1,2-Di-[(2E,4E)-2,4-octadecadienoyl]-sn-glycero-3-phosphocholine
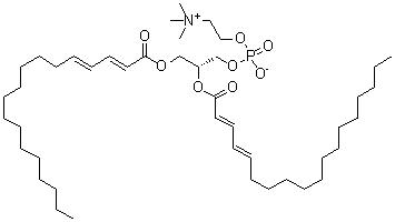
[CAS# 95721-44-1]

List of Suppliers
Shanghai Growingchem Co., Ltd. China Inquire  
+86 (21) 5080-0795
sales@growingchem.com
syzhang1983@163.com
QQ chat
Chemical manufacturer since 2008
chemBlink standard supplier since 2009
Shochem(shanghai) Co., Ltd. China Inquire  
+86 (21) 5178-3479
info@shochem.com
QQ chat
Chemical manufacturer since 2016
chemBlink standard supplier since 2018
Complete supplier list of 1,2-Di-[(2E,4E)-2,4-octadecadienoyl]-sn-glycero-3-phosphocholine
Identification
Name 1,2-Di-[(2E,4E)-2,4-octadecadienoyl]-sn-glycero-3-phosphocholine
Synonyms (7R,11E,13E)-4-Hydroxy-N,N,N-trimethyl-10-oxo-7-[[(2E,4E)-1-oxo-2,4-octadecadien-1-yl]oxy]-3,5,9-trioxa-4-phosphaheptacosa-11,13-dien-1-aminium inner salt 4-oxide
Molecular Structure CAS # 95721-44-1, 1,2-Di-[(2E,4E)-2,4-octadecadienoyl]-sn-glycero-3-phosphocholine, (7R,11E,13E)-4-Hydroxy-N,N,N-trimethyl-10-oxo-7-[[(2E,4E)-1-oxo-2,4-octadecadien-1-yl]oxy]-3,5,9-trioxa-4-phosphaheptacosa-11,13-dien-1-aminium inner salt 4-oxide
Molecular Formula C44H80NO8P
Molecular Weight 782.08
CAS Registry Number 95721-44-1
Market Analysis Reports
List of Reports Available for 1,2-Di-[(2E,4E)-2,4-octadecadienoyl]-sn-glycero-3-phosphocholine
Related Products
4,4'-Dinonyl-2,2'-bipyridine  4,4'-Dinonyl-2,2'-bithiazole  Dinonylnaphthalenesulfonic acid  Dinonyl phthalate  Dinonyl sebacate  15,16-Dinor-8(17),11-labdadien-13-one  ent-14,15-Dinor-13-oxolabda-8(17),11-dien-18-oic acid  Dinotefuran  Dinoterb dimethylamine salt  Dinsed  1,2-Di-(9Z-octadecenoyl)-sn-glycero-3-phospho-L-serine sodium salt  2-[(Dioctadecylamino)carbonyl]benzoic acid  N,N-Dioctadecylbenzenamine  Dioctadecyl dimethyl ammonium chloride  3,3'-Dioctadecyloxacarbocyanine perchlorate  O,O'-Dioctadecylpentaerythritol bis(phosphite)  1,1'-Dioctadecyl-3,3,3',3'-tetramethylindocarbocyanine perchlorate  1,1'-Dioctadecyl-3,3,3',3'-tetramethylindodicarbocyanine perchlorate  1,2-Dioctanoyl-sn-glycerol  Dioctyl adipate